Influence of water erosion on the structure and content of labile humic substances in the structural-aggregate fractions of leached chernozems of the Central Chernozem region
- Authors: Vasenev I.I.1, Gorbunova N.S.2, Gromovik A.I.2, Devyatova T.A.2
-
Affiliations:
- Russian State Agrarian University - Moscow Timiryazev Agricultural Academy
- Voronezh State University
- Issue: Vol 17, No 3 (2022)
- Pages: 315-330
- Section: Soil science and agrochemistry
- URL: https://agrojournal.rudn.ru/agronomy/article/view/19800
- DOI: https://doi.org/10.22363/2312-797X-2022-17-3-315-330
- ID: 19800
Cite item
Full Text
Abstract
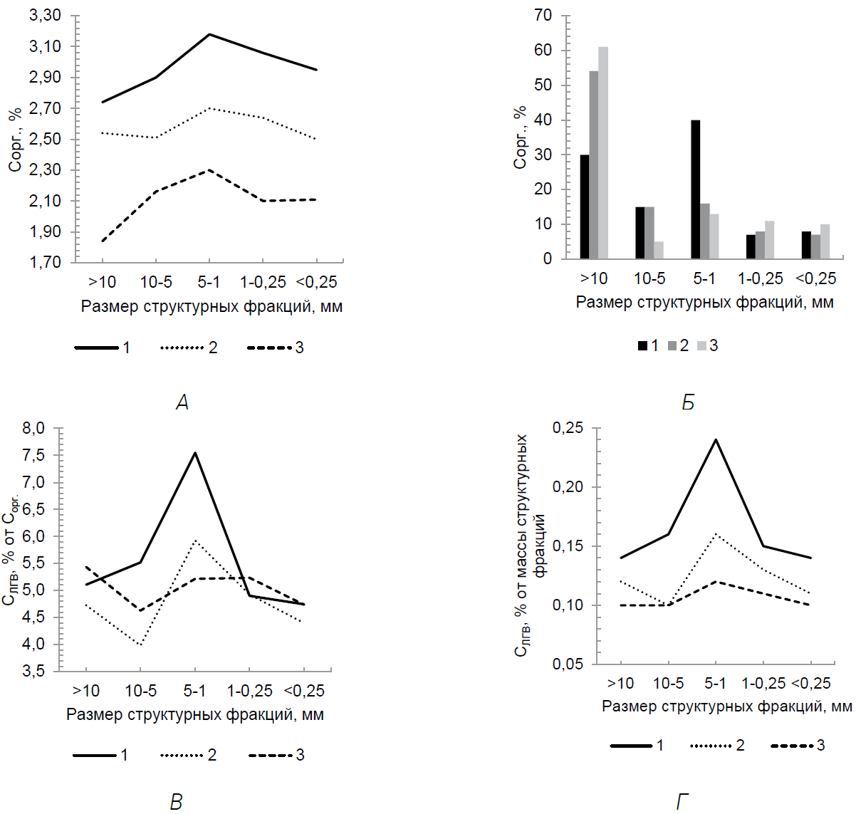
The structural-aggregate composition of leached chernozems (Voronic Chernozems Pachic according to WRB-2014), the distribution of organic compounds Corg and labile humic substances (LHS) in the structural-aggregate fractions of carbon in the conditions of a slope type of terrain during the development of erosion were studied. The work was carried out in the northern part of the Voronezh region on the catena, which included a section of the watershed, smoothly turning into a southwestern slope about 1500 m long and 5˚ steep. The soils of the following sections of the catena were studied: 1) the watershed part; 2) the upper part of the slope; 3) the middle part of the slope. It was shown that degradation of the structural-aggregate state occurs in eroded chernozems, accompanied by a deterioration in microstructurality, a decrease in the number of mesoaggregates and a structural coefficient, as well as a loss of a water-resistant structure. According to the results, LHS play a very important role in maintaining the water-stable structure of chernozems. The most significant contribution to the content of Corg contribute mesoaggregates 5-1 mm in size, which are actively lost during the development of erosion.
Full Text
Table 1. Chemical and physicochemical properties of leached chernozems in conditions of a slope type of terrain (mean value ± error of the arithmetic mean, for n = 5)
Depth, cm | Сorg | Humus | рНwat. | Exchangeable cations, cmol (eq)/kg soil | ||
% | Н+ | Са2+ | Mg2+ | |||
Leached chernozems low-humus medium-thick medium-loamy | ||||||
0—10 | 2.99±0.09 | 5.16±0.17 | 6.5±0.14 | 2.1±0.12 | 24.1±0.90 | 5.3±0.12 |
20—30 | 2.43±0.07 | 4.19±0.11 | 6.9±0.09 | 3.8±0.08 | 24.7±0.61 | 5.0±0.11 |
40—50 | 1.66±0.08 | 2.86±0.11 | 7.1±0.12 | 1.1±0.10 | 20.4±0.91 | 4.3±0.11 |
60—70 | 1.23±0.04 | 2.12±0.10 | 7.2±0.10 | 0.8±0.05 | 19.4±0.74 | 4.3±0.09 |
80—90 | 0.73±0.03 | 1.25±0.09 | 7.5±0.11 | — | 18.5±0.93 | 4.0±0.13 |
100—100 | 0.60±0.03 | 1.04±0.05 | 7.9±0.08 | — | 18.0±0.65 | 3.8±0.09 |
120—130 | 0.35±0.03 | 0.60±0.04 | 8.0±0.09 | — | 17.8±0.95 | 3.5±0.12 |
Leached chernozems low-humus medium loamy weakly washed away | ||||||
0—10 | 2.60±0.08 | 4.49±0.15 | 6.5±0.11 | 2.3±0.10 | 23.7±1.10 | 5.1±0.11 |
20—30 | 1.74±0.07 | 3.00±0.13 | 6.8±0.10 | 1.3±0.09 | 21.3±0.10 | 4.5±0.08 |
40—50 | 0.96±0.06 | 1.66±0.08 | 7.1±0.09 | 1.0±0.10 | 19.1±0.99 | 4.0±0.09 |
60—70 | 0.77±0.06 | 1.32±0.07 | 7.4±0.07 | — | 18.6±0.52 | 3.9±0.08 |
80—90 | 0.58±0.04 | 1.00±0.03 | 7.9±0.10 | — | 18.0±0.84 | 3.8±0.09 |
100—100 | 0.43±0.03 | 0.74±0.02 | 8.0±0.05 | — | 17.6±0.63 | 3.7±0.06 |
120—130 | 0.30±0.02 | 0.51±0.03 | 8.1±0.06 | — | 17.3±0.89 | 3.6±0.08 |
Leached chernozems slightly humus medium loamy medium washed away | ||||||
0—10 | 2.12±0.08 | 3.66±0.18 | 6.9±0.13 | 1.8±0.09 | 22.3±0.98 | 4.8±0.11 |
20—30 | 1.42±0.06 | 2.44±0.11 | 7.4±0.09 | — | 20.4±0.71 | 4.3±0.09 |
40—50 | 0.81±0.05 | 1.40±0.10 | 7.6±0.11 | — | 18.7±1.01 | 3.9±0.10 |
60—70 | 0.67±0.05 | 1.15±0.08 | 7.8±0.09 | — | 18.3±0.78 | 3.8±0.07 |
80—90 | 0.53±0.03 | 0.92±0.05 | 7.9±0.08 | — | 17.9±0.96 | 3.7±0.10 |
100—100 | 0.36±0.01 | 0.62±0.04 | 8.2±0.08 | — | 17.4±0.83 | 3.6±0.07 |
120—130 | 0.19±0.01 | 0.32±0.03 | 8.2±0.09 | — | 16.9±0.89 | 3.5±0.09 |
Table 2. Granulometric (above the line) and micro-aggregate (below the line) composition, factors of dispersion and structure of chernozems leached in conditions of a slope type of terrain (n = 5)
Table 3. Structural and aggregate composition (dry sieving — above the line, wet — b elow the line) leached chernozems in conditions of a slope type of terrain (n = 5)
Distribution of Corg and CLHS in the structural-aggregate fractions of chernozems leached in the conditions of the slope type of terrain: 1 — watershed; 2 — the upper part of the slope; 3 — the lower part of the slope
About the authors
Ivan I. Vasenev
Russian State Agrarian University - Moscow Timiryazev Agricultural Academy
Author for correspondence.
Email: vasenev@rgau-msha.ru
ORCID iD: 0000-0001-9127-9569
Doctor of Biological Sciences, Professor, Head of Department of Ecology
49 Timiryazevskaya st., Moscow, 127550, Russian FederationNadezhda S. Gorbunova
Voronezh State University
Email: vilian@list.ru
ORCID iD: 0000-0002-7986-8106
Candidate of Biological Sciences, Associate Professor, Department of Ecology and Land Resources
1 Universitetskaya sq., Voronezh, 394018, Russian FederationArkady I. Gromovik
Voronezh State University
Email: agrom.ps@mail.ru
ORCID iD: 0000-0002-2340-6404
Candidate of Biological Sciences, Associate Professor, Department of Ecology and Land Resources
1 Universitetskaya sq., Voronezh, 394018, Russian FederationTatyana A. Devyatova
Voronezh State University
Email: devyatova.eco@gmail.com
ORCID iD: 0000-0002-4756-9005
Doctor of Biological Sciences, Professor, Head. Department of Ecology and Land Resources
1 Universitetskaya sq., Voronezh, 394018, Russian FederationReferences
- Gusarov AV, Golosov VN, Sharifullin AG, Gafurov AM. Contemporary trend in erosion of arable southern chernozems (haplic chernozems pachic) in the west of Orenburg region (Russia). Pochvovedenie. 2018; (5):601—616. (In Russ.). doi: 10.7868/S0032180X1805009X
- Plotnikova OO, Demidov VV, Lebedeva MP. The impact of shallow streams on the surface horizons of typical chernozem with different erosion degree. Dokuchaev Soil Bulletin. 2018; (91):85—109. (In Russ.). doi: 10.19047/0136-1694-2018-91-85-109.
- Soldat IE. Reducing the negative impact of soil erosion in the Belgorod region through adaptive landscape farming system. RUDN Journal of Agronomy and Animal Industries. 2020; 15(2):182—190. (In Russ.). doi: 10.22363/2312—797X-2020-15-2-182-190.
- Shpedt AA, Trubnikov YN, Zharinova NY. Agrogenic degradation of soils in Krasnoyarsk forest-steppe. Pochvovedenie. 2017; (10):1253—1261. (In Russ.). doi: 10.7868/S0032180X17100124
- Seidelman FR. Protection of soil from degradation. Vestnik Rossijskoj akademii nauk. 2008; 78(8):693—703. (In Russ.).
- Kogut BM. Estimate of chernozem erodibility level according to the humification degree. Dokuchaev Soil Bulletin. 2015; (78):59—69. (In Russ.).
- Molchanov EN, Savin IY, Yakovlev AS, Bulgakov DS, Makarov OA. National approaches to evaluation of the degree of soil degradation. Pochvovedenie. 2015; (11):1394—1406. (In Russ.). doi: 10.7868/S0032180X15110118
- Gosudarstvennyi (natsional’nyi) doklad o sostoyanii i ispol’zovanii zemel’ v Rossiiskoi federatsii v 2017 godu [State (national) report on the state and use of land in the Russian Federation in 2017]. Moscow; 2018. (In Russ.).
- Kuznetsov MS, Glazunov GP. Eroziya i okhrana pochv [Erosion and soil protection]. Moscow: MGU, KoloSS publ.; 2004. (In Russ.).
- Jastrow JD, Miller RM, Boutton TW. Carbon dynamics of aggregate-associated organic matter estimated by carbon-13 natural abundance. Soil Sci. Soc. Am. J. 1996; 60(3):801—807. doi: 10.2136/sssaj1996.03615995006000030017x
- Six J, Paustian K, Elliott ET, Combrink C. Soil structure and soil organic matter: I. Distribution of aggregate-size classes and aggregate-associated carbon. Soil Sci. Soc. Am. J. 2000; 64(2):681—689. doi: 10.2136/sssaj2000.642681x
- Semyonov VM, Ivannikova LA, Semyonova NA, Khodzhaeva AK, Udaltsov SN. Organic matter mineralization in different soil aggregate fractions. Pochvovedenie. 2010; (2):157—165. (In Russ.). doi: 10.1134/S1064229310020031
- Kogut BM, Sysuev SA, Kholodov VA. Water stability and labile humic substances of typical chernozems under different land uses. Pochvovedenie. 2012; (5):555—561. (In Russ.).
- Semyonov VM, Kogut BM. Pochvennoe organicheskoe veshchestvo [Soil organic matter]. Moscow: GEOS publ.; 2015. (In Russ.).
- John B, Yamashita T, Ludwig B, Flessa H. Storage of organic carbon in aggregate and density fractions of silty soils under different types of land use. Geoderma. 2005; 128(1—2):63—79. doi: 10.1016/j.geoderma.2004.12.013
- Oades JM, Waters AG. Aggregate hierarchy in soils. Australian J. Soil Res. 1991; 29(6):815—828. doi: 10.1071/SR9910815
- Milanovskii EY. Gumusovye veshchestva pochv kak prirodnye gidrofobno-gidrofil’nye soedineniya [Humic substances of soils as natural hydrophobic-hydrophilic compounds]. Moscow: GEOS publ.; 2009. (In Russ.).
- Milanovskii EY, Shein EV. Functional role of amphiphilic humus components in humus structure formation and soil genesis. Pochvovedenie. 2002; (10):1201—1213. (In Russ.).
- Shein EV, Milanovskii EY. The role of organic matter in the formation and stability of soil aggregates. Pochvovedenie. 2003; (1):53—61. (In Russ.).
- Jastrow JD. Soil aggregate formation and the accrual of particulate and mineral-associated organic matter. Soil Biol. and Biochem. 1996; 28(4—5):665—676. doi: 10.1016/0038-0717(95)00159-X
- Klassifikatsiya i diagnostika pochv SSSR [Classification and diagnostics of soils in the USSR]. Moscow: Koloss publ.; 1977. (In Russ.).
- FAO. World reference base for soil resources 2014. International soil classification system for naming soils and creating legends for soil maps. World Soil Resources Reports. Report number: 106. 2015
- Shcheglov DI, Gromovik AI, Gorbunova NS. Osnovy khimicheskogo analiza pochv [Fundamentals of soil chemical analysis]. Voronezh: VGU publ.; 2019. (In Russ.).
- Shein EV, Karpachevsky LO. Teoriya I metody fiziki pochv [Theory and methods of soil physics]. Moscow: GrifiK publ.; 2007. (In Russ.).
Supplementary files











