Microbial communities of urban soils in the Norilsk agglomeration
- Authors: Korneykova M.V.1, Saltan N.V.2, Kozlova E.V.1, Vasileva M.N.1, Davydova P.D.1, Berezhnoi E.D.1
-
Affiliations:
- RUDN University
- Kola Science Centre of Russian Academy of Sciences
- Issue: Vol 19, No 3 (2024)
- Pages: 431-446
- Section: Soil science and agrochemistry
- URL: https://agrojournal.rudn.ru/agronomy/article/view/20062
- DOI: https://doi.org/10.22363/2312-797X-2024-19-3-431-446
- EDN: https://elibrary.ru/BVDKCD
- ID: 20062
Cite item
Full Text
Abstract
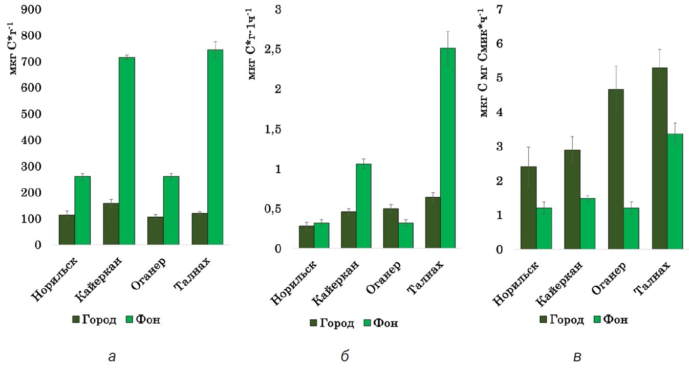
Arctic cities are an important and relevant object of research due to the unique combination of extreme natural and climatic conditions and anthropogenic impact. Microbial communities are sensitive indicators of changes occurring as a result of anthropogenic impact, including urbanization, the consequences of which in the Arctic zone are poorly studied and poorly predictable. The aim of this study was to assess the microbiological potential of urban soils of the Norilsk agglomeration (Norilsk, Kayerkan, Oganer and Talnakh) to perform ecological functions based on the study of some microbiological parameters. The number of saprotrophic and oligotrophic bacteria, microscopic fungi (plating method), microbial biomass and respiration (substrate induced respiration method), functional diversity of microbial communities (MicroRespTM technique), and the sanitary and hygienic state of soils were studied. It was revealed that urban soils were characterized by low microbial biomass (from 107 to 159 μg C g–1) compared to the background, but sufficient microbial respiration (from 0.28 to 0.64 μg C g–1h–1), which indicates their high activity. An increase in the number of culturable bacteria and microscopic fungi was noted in urban soils and, in some areas, an increase in the functional diversity of microbial communities compared to the background. Microorganisms capable of decomposing easily accessible compounds — carbohydrates and carboxylic acids — prevailed in the community, but the proportion of microorganisms utilizing difficult-to-decompose compounds was also high (up to 20%). The sanitary and hygienic condition of urban soils of the agglomeration was assessed as moderately hazardous. An increase in the number of coliform bacteria, enterobacteria and opportunistic microfungi has been noted, which is generally characteristic of urban ecosystems and is not critical. The identified patterns suggest that urban green infrastructure can form niches for the microorganisms that can effectively perform ecological functions despite stressful conditions. In this case, issues of an integrated environmental approach to solving the problems of landscaping and improvement of Arctic cities, selecting a range of plants and technologies for the care and maintenance of green infrastructure are becoming increasingly relevant, which will contribute to the formation of sustainable and healthy urban ecosystems.
Full Text
Fig. 1. Location and area of research plots
Source: created by N.V. Saltan using Google Map
Fig. 2. Microbial biomass (a), basal respiration (b) and microbial metabolic quotient (c) in soils of the Norilsk agglomeration areas compared to background ones
Source: created by М.V. Korneykova using Microsoft Excel
Fig. 3. Heat map of the functional diversity of soil microbial communities in the soils of the Norilsk agglomeration in comparison with the background ones: а — Kayerkan; б — Talnakh; в — Norilsk; г — Oganer. The green line is the background area
Source: created by М.N. Vasileva using R 4.3.3, R studio
Number of bacteria and microscopic fungi in urban soils
Object | Type | Bacteria | Microfungi, | |||
Saprotrophic | Oligotrophic | Coliform bacteria | Enterobacteria | |||
thous. cells/g of soil | CFU/g of soil | |||||
Norilsk | City | 20.2 ± 0.5 | 47.8 ± 5.2 | 30.7 ± 2.5 | 16.5 ± 3.5 | 0.14 ± 0.03 |
BG | 13.2 ± 1.5 | 26.2 ± 2.2 | 0 | 0 | 0.05 ± 0.005 | |
Kayerkan | City | 32.2 ± 1.3 | 48.7 ± 4.3 | 7.25 ± 1.2 | 0.4 ± 0.05 | 0.32 ± 0.1 |
BG | 24.9 ± 10.0 | 25.8 ± 8.2 | 4.0 ± 0.3 | 0.5 ± 0.1 | 0.01 ± 0.002 | |
Oganer | City | 22.0 ± 9.3 | 35.7 ± 7.5 | 5.4 ± 0.2 | 0.04 ± 0.01 | 0 |
BG | 13.2 ± 1.5 | 26.2 ± 2.2 | 0 | 0 | 0.05 ± 0.005 | |
Talnakh | City | 18.6 ± 5.3 | 43.5 ± 4.9 | 0.4 ± 0.02 | 39.1 ± 13.1 | 1.3 ± 0.05 |
BG | 28.8 ± 9.0 | 83.2 ± 12.2 | 0 | 7.7 ± 1.5 | 0.05 ± 0.005 | |
Note. BG — background.
About the authors
Maria V. Korneykova
RUDN University
Author for correspondence.
Email: korneykova.maria@mail.ru
ORCID iD: 0000-0002-6167-1567
SPIN-code: 8258-4976
Candidate of Biological Sciences, Senior Researcher, Center for Smart Technologies for Sustainable Development of the Urban Environment under the Global Change, Deputy Director for Research, Agrarian and Technological Institute
6 Miklukho-Maklaya st. Moscow, 117198, Russian FederationNatalia V. Saltan
Kola Science Centre of Russian Academy of Sciences
Email: saltan.natalya@mail.ru
ORCID iD: 0000-0002-5905-9774
SPIN-code: 6405-0697
Candidate of Biological Sciences, Senior Researcher, Laboratory of Decorative Floriculture and Landscaping, Polar Alpine Botanical Garden-Institute
18a Akademgorodok microdistrict, Apatity, Murmansk Region, 184209, Russian FederationEkaterina V. Kozlova
RUDN University
Email: kozlova-ev@rudn.ru
ORCID iD: 0000-0003-4325-6930
SPIN-code: 8210-3343
Candidate of Biological Sciences, Senior Researcher, Center for Smart Technologies for Sustainable Development of the Urban Environment under the Global Change, Agrarian and Technological Institute
6 Miklukho-Maklaya st. Moscow, 117198, Russian FederationMaria N. Vasileva
RUDN University
Email: vasilyeva-mn@rudn.ru
ORCID iD: 0000-0002-3142-3781
SPIN-code: 9356-2089
Laboratory Research Assistant, Center for Smart Technologies for Sustainable Development of the Urban Environment under the Global Change, Agrarian and Technological Institute
6 Miklukho-Maklaya st. Moscow, 117198, Russian FederationPolina D. Davydova
RUDN University
Email: davydova-pd@rudn.ru
ORCID iD: 0000-0002-3127-8334
Laboratory Assistant, Center for Smart Technologies for Sustainable Development of the Urban Environment under the Global Change, Agrarian and Technological Institute
6 Miklukho-Maklaya st. Moscow, 117198, Russian FederationEgor D. Berezhnoi
RUDN University
Email: berezhnoy_ed@pfur.ru
Laboratory Assistant, Center for Smart Technologies for Sustainable Development of the Urban Environment under the Global Change, Agrarian and Technological Institute 6 Miklukho-Maklaya st. Moscow, 117198, Russian Federation
References
- Hugelius G, Strauss J, Zubrzycki S, Harden JW, Schuur EAG, Ping CL, et al. Estimated stocks of circumpolar permafrost carbon with quantified uncertainty ranges and identified data gaps. Biogeosciences. 2014;11(23):6573-6593. doi: 10.5194/bg-11-6573-2014.
- Strauss J, Schirrmeister L, Grosse G, Fortier D, Hugelius G, Knoblauch C, et al. Deep Yedoma permafrost: A synthesis of depositional characteristics and carbon vulnerability. Earth-Sci Rev. 2017;172:75-86. doi: 10.1016/j.earscirev.2017.07.007
- Blaud A, Lerch TZ, Phoenix GK, Osborn AM. Arctic soil microbial diversity in a changing world. Research in microbiology. 2015;166(10):796-813. doi: 10.1016/j.resmic.2015.07.013
- Malard LA, Pearce DA. Microbial diversity and biogeography in Arctic soils. Environmental microbiology reports. 2018;10(6):611-625. doi: 10.1111/1758-2229.12680
- Lulakova P, Perez-Mon C, Santruckova H, Ruethi J, Frey B. High-alpine permafrost and active-layer soil microbiomes differ in their response to elevated temperatures. Frontiers in microbiology. 2019;10:668. doi: 10.3389/fmicb.2019.00668
- Frossard A, De Maeyer L, Adamczyk M, Svenning M, Verleyen E, Frey B. Microbial carbon use and associated changes in microbial community structure in high-Arctic tundra soils under elevated temperature. Soil Biology and Biochemistry. 2021;162:108419. doi: 10.1016/j.soilbio.2021.108419
- Son D, Lee EJ. Soil microbial communities associated with three arctic plants in different local environments in Ny-Alesund, Svalbard. J Microbiol Biotechnol. 2022;32(10):1275-1283. doi: 10.4014/jmb.2208.08009
- Blume-Werry G, Klaminder J, Krab EJ, Monteux S. Ideas and perspectives: Alleviation of functional limitation by soil organisms is key to climate feedbacks from arctic soils. Biogeosciences. 2023;20:1979-1990. doi: 10.5194/bg-20-1979-2023
- Pegoraro E, Mauritz M, Bracho R, Ebert C, Dijkstra P, Hungate BA, Konstantinidis KT, et al. Glucose addition increases the magnitude and decreases the age of soil respired carbon in a long-term permafrost incubation study. Soil Biology and Biochemistry. 2019;129:201-211. doi: 10.1016/j.soilbio.2018.10.009
- Prater I, Zubrzycki S, Buegger F, Zoor-Füllgraff LC, Angst G, Dannenmann M, et al. From fibrous plant residues to mineral-associated organic carbon-the fate of organic matter in Arctic permafrost soils. Biogeosciences. 2020;17:3367-3383. doi: 10.5194/bg-17-3367-2020
- Abakumov E, Petrov A, Polyakov V, Nizamutdinov T. Soil organic matter in urban areas of the Russian arctic: a review. Atmosphere. 2023;14(6):997. doi: 10.3390/atmos14060997
- Sevastyanov DV, Isachenko TE, Guk EN. Norilsk region: from the peculiarities of nature to the practice of development. Vestnik of Saint-Petersburg University. Earth Sciences. 2014;(3):82-94. (In Russ.).
- Ananyeva ND, Susyan EA, Chernova OV, Wirth S. Microbial respiration activities of soils from different climatic regions of European Russia. Euro J Soil Biol. 2008;44(2):147-157. doi: 10.1016/j.ejsobi.2007.05.002
- Campbell CD, Chapman SJ, Cameron CM, Davidson MS, Potts JM. A rapid microtiter plate method to measure carbon dioxide evolved from carbon substrate amendments so as to determine the physiological profiles of soil microbial communities by using whole soil. Appl Environ Microbiol. 2003;69(6):3593-3599. doi: 10.1128/AEM.69.6.3593-3599.2003
- Moscatelli MC, Secondi L, Marabottini R, Papp R, Stazi SR, Mania E, et al. Assessment of soil microbial functional diversity: land use and soil properties affect CLPP-MicroResp and enzymes responses. Pedobiologia. 2018;66:36-42. doi: 10.1016/j.pedobi.2018.01.001
- Domsch KH, Gams W, Anderson TH. Compendium of Soil Fungi. 2nd ed. Ehing, Germany: IHW Verlag; 2007.
- Seifert K, Morgan-Jones G, Gams W, Kendrick B. The genera of Hyphomycetes. Reus, Spain: Utrecht CBS; 2011.
- De Hoog GS, Guarro J, Gene J, Ahmed S, Al-Hatmi AMS, Figueras MJ. Atlas of Clinical Fungi. 4th edition. Hilversum, Netherlands: Foundation Atlas of Clinical Fungi; 2020.
- Satton D, Fotergill A, Rinaldi M. Opredelitel’ patogennykh i uslovno-patogennykh gribov [Identifier of pathogenic and opportunistic fungi]. Moscow: Mir publ.; 2001. (In Russ.).
- Vasenev VI, Ananyeva ND, Makarov OA. Specific features of the ecological functioning of urban soils in Moscow and Moscow oblast. Eurasian Soil Science. 2012;(2):224-235. (In Russ.).
- Ivashchenko KV, Ananyeva ND, Vasenev VI, Kudeyarov VN, Valentini R. Biomass and respiration activity of soil microorganisms in anthropogenically transformed ecosystems (moscow region). Eurasian Soil Science. 2014;(9):1077-1088. (In Russ.). doi: 10.7868/S0032180X14090056
- Ananyeva ND, Sushko SV, Ivashchenko KV, Vasenev VI. Soil microbial respiration in subtaiga and forest-steppe ecosystems of European Russia: field and laboratory approaches. Eurasian Soil Science. 2020;53(10):1492-1501. doi: 10.1134/S106422932010004X
- Korneykova MV, Vasenev VI, Saltan NV, Slukovskaya MV, Soshina AS, Zavodskikh MS, et al. Analysis of CO2 Emission from urban soils of the Kola Peninsula (European Arctic). Eurasian Soil Science. 2023;56(11):1653-1666. doi: 10.1134/S1064229323601749
- Ananyeva ND, Blagodatskaya EV, Demkina TS. Estimating the resistance of soil microbial complexes to natural and anthropogenic impacts. Eurasian Soil Science. 2002;(5):580-587. (In Russ.).
- Anderson TH, Domsch KH. Soil microbial biomass: The eco-physiological approach. Soil Biol Biochem. 2010;42(12):2039-2043. doi: 10.1016/j.soilbio.2010.06.026
- Insam H, Parkinson D, Domsch KH. Influence of macroclimate on soil microbial biomass. Soil Biology and Biochemistry. 1989;21(2):211-221. doi: 10.1016/0038-0717(89)90097-7
- Emmerling C, Schloter M, Hartmann A, Kandeler E. Functional diversity of soil organisms - a review of recent research activities in Germany. Journal of Plant Nutrition and Soil Science. 2002;165(4):408-420. doi: 10.1002/1522--2624(200208)165:4<408:: AID-JPLN408>3.0.CO;2-3
- Zak JC, Willig MR, Moorhead DL, Wildman HG. Functional diversity of microbial communities: A quantitative approach. Soil Biology and Biochemistry. 1994;26(9):1101-1108. doi: 10.1016/0038-0717(94)90131-7
- Brodsky OL, Shek KL, Dinwiddie D, Bruner SG, Gill AS, Hoch JM, et al. Microbial communities in bioswale soils and their relationships to soil properties, plant species, and plant physiology. Frontiers in Microbiology. 2019;10:2368. doi: 10.3389/fmicb.2019.02368
- Han X, Wang R, Guo W, Pang X, Zhou J, Wang Q, et al. Soil microbial community response to land use and various soil elements in a city landscape of north China. Afr J Biotechnol. 2011;10(73):16554-16565. doi: 10.5897/AJB10.1682
- Tresh S, Moretti M, Le Bayon RC, Mader P, Zanetta A, Frey D, et al. Urban soil quality assessment - A comprehensive case study dataset of urban garden soils. Frontiers Environ Sci. 2018;6:136. doi: 10.3389/fenvs.2018.00136
- Artamonova VS. Mikrobiologicheskie osobennosti antropogenno preobrazovannykh pochv Zapadnoi Sibiri [Microbiological features of anthropogenically transformed soils of Western Siberia]. Novosibirsk; 2002. (In Russ.).
- Lysak LV, Lapygina EV. The diversity of bacterial communities in urban soils. Eurasian Soil Science. 2018;(9):1108-1114. (In Russ.). doi: 10.1134/S0032180X18090071
- Korneykova MV, Vasenev VI, Nikitin DA, Soshina AS, Dolgikh AV, Sotnikova YL. Urbanization Affects soil microbiome profile distribution in the Russian arctic region. Int J Environ Res Public Health. 2021;18(21):11665. doi: 10.3390/ijerph182111665
- Korneykova MV, Vasenev VI, Nikitin DA, Dolgikh AV, Soshina AS, Myazin VA, et al. Soil microbial community of urban green infrastructures in a polar city. Urban Ecosyst. 2022;25:1399-1415. doi: 10.1007/s11252-022-01233-8
- Turchanovskaya NS, Bogdanova OY. Microbiological study of the soil of the city of Murmansk. Advances in current natural sciences. 2011;(8):72. (In Russ.).
- Peretruhina AT. Sanitary and microbiological studies of soils in Murmansk and Murmansk region. International Journal of Experimental Education. 2011;(6):14-16. (In Russ.).
- Marfenina OE, Kulko AB, Ivanova AE, Sogonov MV. The microfungal communities in the urban outdoor environment. Mycology and phytopathology. 2002;36(4):22-32. (In Russ.).
- Stoma GV, Manucharova NA, Belokopytova NA. Biological activity of microbial communities in soils of some Russian cities. Eurasian Soil Science. 2020;53:760-771. doi: org/10.1134/S1064229320060125
Supplementary files













