Water-physical properties of chestnut soils depending on different tillage practices and irrigation regimes
- Authors: Dubenok N.N.1, Novikov A.E.2, Poddubsky A.A.3, Chamurliev G.O.3, Shumakova K.B.1, Zbukarev R.V.2
-
Affiliations:
- Russian State Agrarian University - Moscow Timiryazev Agricultural Academy
- Russian Research Institute of Irrigated Agriculture
- Peoples’ Friendship University of Russia
- Issue: Vol 18, No 1 (2023)
- Pages: 45-58
- Section: Agricultural technologies and land reclamation
- URL: https://agrojournal.rudn.ru/agronomy/article/view/19864
- DOI: https://doi.org/10.22363/2312-797X-2023-18-1-45-58
- EDN: https://elibrary.ru/OYQWDQ
- ID: 19864
Cite item
Full Text
Abstract
The aim of the research was to study water-physical properties of chestnut soils under different tillage practices when cultivating corn (Povolzhsky 89 MV hybrid) under irrigated conditions in the Lower Volga region. Therefore, the following characteristics of the soil were studied - soil density, soil moisture, field capacity, maximal hygroscopic moisture, wilting point and porosity. The results revealed that after chisel loosening, a qualitative improvement of soil water-physical properties was observed in comparison with the control variant - moldboard plowing. To describe the dynamics of changes in soil density by layers and tillage variants, a regression of the 2nd order was proposed, and coefficients of the equation were calculated. In order to maintain the specified irrigation regime during the observation periods, 7 to 9 vegetative irrigations with application rate from 2250 to 2750 m3·ha-1 were carried out in the variants with moldboard plowing, 7 to 8 irrigations with application rate from 2200 to 2600 m3·ha-1 in the variants with chisel loosening, and 6 to 7 irrigations with application rates from 2100 to 2500 m3·ha-1 in the variants with chisel moldboard plowing. The yield of corn in the variant with chisel moldboard plowing averaged 8.75 t·ha-1 during the research period, which is 18 % higher than in the control variant. Moreover, the cost of irrigation water for producing one ton of grain decreased by almost 20 %, and the coefficient of water consumption decreased by 17 %.
Full Text
Введение
В мировом земледелии посевы кукурузы занимают ведущие позиции, что обусловлено ее универсальным назначением, высокой урожайностью и энергетической ценностью, в частности корма из этой культуры подходят для кормления всех видов сельскохозяйственных животных и птиц, зерно можно использовать для производства биотоплива. В 2019 г. посевами кукурузы было занято более 191 млн га, или 10 % всех посевных площадей в мире. При этом почти 48 % приходится на Китай, США и Бразилию.
Важными факторами в получении стабильно высоких урожаев зерна кукурузы остаются оптимальный водный режим и структура почвы с макроагрегатами размером 0,25…10,0 мм [1–6].
Орошаемые почвы в состоянии увлажнения легко уплотняются при воздействии механического давления, а Na+, K+ и NH4+, привносимые с минеральными удобрениями, вытесняют обменный кальций из ППК (почвенно-поглощающий комплекс) и нарушают устойчивость почвенной структуры. Совокупность этих факторов приводит к образованию плужной «подошвы» на глубине 0,2–0,3 м [7–11]. Она препятствует накоплению запасов продуктивной влаги, развитию корневой системы растений, созданию оптимального воздушного, водного и пищевого режимов почвы. С увеличением плотности почвы уменьшается ее впитывающая способность и при орошении интенсифицируются ирригационно-эрозионные процессы [12–16].
Для регулирования водно-физических свойств почвы применяют мелиоративные способы обработки почвы. Это разновидности «нулевой» обработки (No-Till, Strip-Till, Mini-Till), лемешная вспашка, безотвальное рыхление, в т. ч. чизельное рыхление, комбинированные разноглубинные и многоярусные обработки [17–24].
За счет мелиоративной обработки почвы может формироваться до 25 % урожая. При этом единого мнения по выбору способа обработки почвы нет. Здесь определяющими факторами выступают влагообеспеченность осадками, температурный режим, способы управления продукционным процессом, степень и характер эрозии почвы, набор культур в севообороте, засоренность полей [25–27].
Цель исследования — оценка водно-физических свойств каштановых почв при разных способах мелиоративной обработки почвы при возделывании кукурузы в условиях орошаемого земледелия Нижнего Поволжья.
Материалы и методы исследования
По схеме полевого опыта было проведено три варианта осенней мелиоративной обработки почвы: лемешная отвальная вспашка (вариант А1, контроль) на глубину 0,22…0,24 м орудием ПН-5–35, чизельное безотвальное рыхление на глубину 0,25…027 м (вариант А2) и чизельное отвальное рыхление на глубину 0,36…0,38 м с внедрением отвалов на 0,16…0,18 м в 1-й год проведения обработки и на глубину 0,25…0,27 м с внедрением отвалов на ту же глубину на 2 и 3-й годы проведения обработки (вариант А3) орудием ПЧВ-5–40М.
Почвы опытного участка по гранулометрическому составу тяжелосуглинистые. В пахотном слое 0,22…0,24 м содержание гумуса — 1,65…1,75 %. Обеспеченность доступными формами азота слабая — 35…45 мг/кг, фосфором — средняя, 75…85 мг/ кг, калием — повышенная, 280…300 мг/кг, местами до 450. Реакция почвенного раствора слабощелочная, pH 6,5…7,2. Плотность сложения — 1,35…1,40 т/ м3 в слое 0,22…0,24 м, плотность твердой фазы — 2,54 т/м3, порозность — 43 %, наименьшая влагоемкость — 22…24 %. Водоудерживающая способность метрового слоя — 2800 м3/га. Глубина залегания грунтовых вод — более 10 м.
Опыт закладывали систематическим методом по Б.А. Доспехову (1985), В.Н. Плешакову (1983) в четырехкратной повторности. В исследованиях использовали районированный зерновой гибрид Поволжский 89 МВ. Предполивной порог влажности почвы поддерживали поливами дождеванием машиной «Фрегат» на уровне 80 % НВ в слое 0,7 м от фазы 13 листьев до окончания цветения, а в остальной период — 70 % НВ в слое почвы 0,4 м. Фон удобрений (N180P95K50 кг д. в. на гектар) и агротехника (за исключением обработки почвы) на всех вариантах были идентичны.
Образцы отбирали почвенным буром в четырехкратной повторности по десятисантиметровым слоям с поверхности до глубины один метр. Водно-физические свойства каштановых почв изучали по методикам А.Ф. Вадюниной, З.А. Корчагиной (1986).
Обеспеченность вегетационного периода осадками оценивали по гидротермическому коэффициенту Г.Т. Селянинова (1937).
Нижнее Поволжье относится к зоне недостаточной влагообеспеченности. Атмосферные осадки за вегетационный период компенсируют не более 50 % суммарного водопотребления растений в засушливых районах, а в полусухих и сухих — до 30 %. В этой связи орошение выступает лимитирующим фактором в получении стабильно высоких урожаев сельскохозяйственных культур.
Периоды наблюдений по условиям тепло- и влагообеспеченности были близкими к среднемноголетним значениям. По сумме активных температур посевы кукурузы были обеспечены теплом от 3300 до 3407 °C, а вегетационные периоды по наличию атмосферных осадков характеризовались как крайне засушливые и сухие с ГТК 0,35…0,45.
Результаты исследования и обсуждение
Для поддержания заданного режима орошения на варианте А1 было проведено от 7 до 9 вегетационных поливов оросительной нормой от 2250 до 2750 м3/ га, на вариантах с чизельным безотвальным рыхлением почвы А2— 7…8 поливов нормой 2200…2600 м3/га, с чизельным отвальным рыхлением почвы А3 — 6…7 поливов нормой 2100…2500 м3/га (табл. 1).
Таблица 1
Поливные нормы и количество поливов при разных способах мелиоративной обработки почвы (за 3 года исследований)
Обработка почвы | Водный режим почвы | Количество поливов | Поливная норма, м3/га | Оросительная норма, м3/га |
А1 | 80 % НВ, h = 0,7 м 70 % НВ, h = 0,4 м | 2 5…7 | 500 250 | 2250…2750 |
А2 | 80 % НВ, h = 0,7 м 70 % НВ, h = 0,4 м | 2 5…6 | 500…550 250…300 | 2200…2600 |
А3 | 80 % НВ, h = 0,7 м 70 % НВ, h = 0,4 м | 2 4…5 | 500…550 200…350 | 2100…2500 |
Table 1
Water application rate and number of irrigations under different methods of soil treatment (average over 3 years)
Soil treatment | Soil water regime | Number of irrigations | Water application rate, m3·ha-1 | Irrigation rate, m3·ha-1 |
А1 | 80 % FC, h = 0.7 m 70 % FC, h = 0.4 m | 2 5…7 | 500 250 | 2,250…2,750 |
А2 | 80 % FC, h = 0.7 m 70 % FC, h = 0.4 m | 2 5…6 | 500…550 250…300 | 2,200…2,600 |
А3 | 80 % FC, h = 0.7 m 70 % FC, h = 0.4 m | 2 4…5 | 500…550 200…350 | 2,100…2,500 |
Исследование плотности почвы (рис. 1) показало разную динамику ее изменения по слоям в зависимости от варианта мелиоративной обработки почвы. Наименьшая плотность пахотного слоя почвы отмечена при отвальных обработках. Перед посевом кукурузы в варианте А1 в слое 0,0–0,3 м показатель изменялся от 1,28 до 1,37 т/м3, а перед уборкой — от 1,33 до 1,41 т/м3, в вариантах А2 и А3 соответственно 1,26…1,35 т/м3 перед посевом и 1,31…1,41 т/м3 перед уборкой.
Полученный эффект связан с работой отвалов на почвообрабатывающих орудиях, которые крошат и разрыхляют пахотный горизонт. При этом отвалы на чизельном орудии не оборачивают пласт на всю глубину обработки, как при лемешной вспашке, а только рыхлят верхний слой и заделывают на глубину до 0,18 м стерневые и пожнивные остатки. Снижение плотности почвы ниже плужной «подошвы» в вариантах А2 и А3 определено глубиной ее обработки. В слое 0,2–0,3 м существенные различия по ρb между А1 и А3 — снижение на 0,05 т/м3 (НСР05 = 0,021 т/ м3), перед посевом отмечены лишь в 1-й год наблюдений. В другие периоды значимых различий не установлено, что связано со снижением глубины обработки почвы с 0,36–0,38 до 0,25–0,27 м и постепенным выравниваем ρb. В варианте А2 плотность почвы перед посевом кукурузы существенно выше контрольного на 0,02 т/ м3, а перед уборкой — на 0,04 т/м3 (НСР05 = 0,011…0,016 т/м3).

Рис. 1. Плотность сложения почвы ρb, т/м3, по слоям h, м, перед посевом (a) и уборкой (b) кукурузы по вариантам обработки почвы: A — А1, B — А2, C — А3
Fig. 1. Soil compaction density ρb, t·m-3, by layers h, m, before sowing (a) and before harvesting (b) corn under soil treatments: A — А1, B — А2, C — А3
Анализ экспериментальных данных показывает, что плотность сложения почвы по слоям в условиях орошения можно описать квадратичной функцией вида
ρb = aℎ2 + bℎ + c,
где ρb — плотность почвы, т/м3; h — слой почвы, м; a, b, c — коэффициенты уравнения (табл. 2).
Таблица 2
Значения коэффициентов регрессии
Обработка почвы | Период отбор проб | Коэффициенты | ||
a | b | c | ||
А1 | До посева | 0,405 | 0,487 | 1,222 |
Перед уборкой | 0,571 | 0,331 | 1,281 | |
А2 | До посева | 0,500 | 0,310 | 1,276 |
Перед уборкой | 0,405 | 0,321 | 1,318 | |
А3 | До посева | 0,643 | 0,271 | 1,231 |
Перед уборкой | 0,571 | 0,297 | 1,272 | |
Table 2
Values of regression coefficients
Soil treatment | Sampling period | Coefficients | ||
a | b | c | ||
А1 | Before sowing | 0.405 | 0.487 | 1.222 |
Before harvasting | 0.571 | 0.331 | 1.281 | |
А2 | Before sowing | 0.500 | 0.310 | 1.276 |
Before harvasting | 0.405 | 0.321 | 1.318 | |
А3 | Before sowing | 0.643 | 0.271 | 1.231 |
Before harvasting | 0.571 | 0.297 | 1.272 | |
Плотность сложения почвы определяет состояние других водно-физических свойств — наименьшей влагоемкости НВ, максимальной гигроскопичности МГ и влажности завядания растений ВЗ (рис. 2).

Рис. 2. Величины НВ, % (a), МГ, % (b), и ВЗ, % (c), по слоям почвы по вариантам обработки почвы: A — А1, B — А2, C — А3
Fig. 2. Values of FC, % (a), MHM, % (b), and WM, % (c), by soil layers under soil treatments: A — А1, B — А2, C — А3
Величина МГ, характеризующая способность частиц почвы сорбировать молекулы парообразной влаги, в слое 0,0–0,1 м на контрольном варианте была существенно выше — на 0,2–0,3 % — значения показателя в варианте А2 и настолько же ниже в варианте А3 (НСР05 = 0,13…0,19). Значимых различий в величине МГ между вариантами с отвальными обработками почвы в слое 0,1–0,2 м не выявлено, что обусловлено соизмеримыми значениями показателей качества обработки почвы при работе отвалов: коэффициент глыбистости 70,5 (А1) против 60,5 (А3), коэффициент рыхления 25,5 (А1) против 26,7 (А3), коэффициент крошения 33,8 (А1) против 63,4 (А3). При этом МГ в варианте А2 была существенно ниже — на 0,2 % (НСР05 = 0,08…0,13). Ниже плужной «подошвы» МГ по вариантам обработки почвы существенно не отличалась.
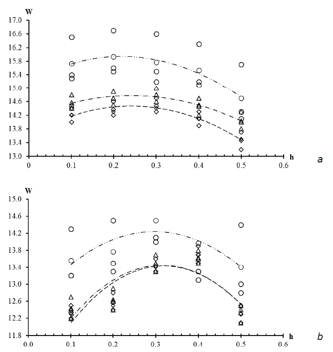
Наблюдениями за влажностью почвы (рис. 3) установлены существенные различия в значениях показателя по вариантам обработки почвы. На контроле влажность почвы в слое 0,0–0,5 м перед посевом и уборкой кукурузы составляла 14,1 и 12,9 %, что ниже на 0,3…0,6 % (НСР05 = 0,08 %), чем в варианте А2. В варианте А3 влажность была выше на 2,3…2,5 % (НСР05 = 0,15 %) относительно А1 с тенденцией снижения до 0,6…1,2 % (НСР05 = 0,13…0,24 %) на 2-й и 3-й год проведения опытов из-за уменьшения глубины рыхления почвы до 0,25…0,27 м.

Рис. 3. Влажность почвы W, %, по слоям h, м, перед посевом (a) и уборкой (b) кукурузы по вариантам обработки почвы: A — А1, B — А2, C — А3
Fig. 3. Soil moisture W, %, by layers h, m, before sowing (a) and harvesting (b) corn by tillage options: A — А1, B — А2, C — А3
Бóльшая влажность почвы в вариантах с мелиоративным чизельным рыхлением связана с разрушением плужной «подошвы», препятствующей проникновению атмосферных осадков и оросительных вод в более глубокие слои, а в случае с чизельным отвальным рыхлением — снижением эвапотранспирации поверхностью почвы и предотвращением ирригационного стока за счет формирования гребнистого дна борозды.
По экспериментальным значениям плотности и влажности почвы были рассчитаны общая порозность ε (рис. 4) и пористость аэрации εair соответствующих слоев (рис. 5).

Рис. 5. Пористость аэрации εair, %, почвы по слоям h, м, перед посевом (a) и уборкой (b) кукурузы по вариантам обработки почвы: A — А1, B — А2, C — А3
Fig. 5. Porosity of aeration εair, %, of soil by layers h, m, before sowing (a) and before harvesting (b) corn under soil treatments: A — А1, B — А2, C — А3
Порозность по всем вариантам обработки почвы в пахотном слое находится в диапазоне 43…48 %, что по классификации Н.А. Качинского (1965) свидетельствует о неудовлетворительном состоянии почв, протекании ирригационно-эрозионных процессов, влияющих на ухудшение воздухообмена, развитие анаэробных процессов.
Эффективность дифференцированного режима орошения с учетом полученного урожая зерна кукурузы оценивали по затратам оросительной воды на производство тонны зерна Q и коэффициенту водопотребления K (табл. 3). В вариантах с безотвальными и отвальными чизельными мелиоративными обработками почвы при урожайности зерна 8,48 и 8,75 т/га затраты Q в среднем составили 283 и 263 м3/т. На контрольном варианте с лемешной отвальной вспашкой при урожайности зерна 7,42 т/га (НСР05 = 0,15…0,32 т/га) затраты оросительной воды были выше соответственно на 16,0 и 22,0 %. Коэффициент водопотребления кукурузы на контроле в среднем составил 642,8 м3/т (100 %) против 551,7 м3/т (87 %) в варианте А2 и 524,6 м3/т (83 %) в варианте А3.
Таблица 3
Элементы режима орошения кукурузы при разных способах мелиоративной обработки почвы с оценкой его эффективности (в среднем за 3 года исследований)
Обработка почвы | Оросительная норма, м3/га | Суммарное потребление воды, м3/га | Урожайность | Q, м3/т | K, м3/т | |
т/га | % к контролю | |||||
А1 | 2500 | 4770 | 7,42 | 100,0 | 337 | 642,8 |
А2 | 2400 | 4670 | 8,48 | 114,3 | 283 | 551,7 |
А3 | 2300 | 4590 | 8,75 | 118,0 | 263 | 524,6 |
Table 3
Elements of corn irrigation regime under different methods of soil treatment and assessment of the effectiveness (average over 3 years)
Soil treatment | Irrigation rate, m3·ha-1 | Total water consumption, m3·ha-1 |
| Yield | Q, m3/t | K, m3/t |
t·ha-1 | % to the control | |||||
А1 | 2,500 | 4,770 | 7.42 | 100.0 | 337 | 642.8 |
А2 | 2,400 | 4,670 | 8.48 | 114.3 | 283 | 551.7 |
А3 | 2,300 | 4,590 | 8.75 | 118.0 | 263 | 524.6 |
Заключение
Установлено, что дифференцированное по глубине чизельное отвальное рыхление почвы способствует улучшению основных водно-физических свойств и снижению вероятности развития ирригационно-эрозионных процессов в системе орошаемого земледелия, повышению эффективности использования растениями оросительной воды и атмосферных осадков. Разрыхление почвы ниже плужной «подошвы» при достаточном естественном или искусственном увлажнении интенсифицирует ростовые процессы как надземной, так и подземной части растений кукурузы, обеспечивающие получение качественных урожаев зерна в заданном количестве.
About the authors
Nikolay N. Dubenok
Russian State Agrarian University - Moscow Timiryazev Agricultural Academy
Email: ndubenok@rgau-msha.ru
ORCID iD: 0000-0002-9059-9023
Doctor of Agricultural Sciences, Professor, Academician of RAS, Head of the Department of Agricultural Land Reclamation, Forestry and Land Management
49 Timiryazevskaya st., Moscow, 127434, Russian FederationAndrey E. Novikov
Russian Research Institute of Irrigated Agriculture
Author for correspondence.
Email: ae_novikov@vniioz.ru
ORCID iD: 0000-0002-8051-4786
Doctor of Technical Sciences, Director
9, Timiryazev st., Volgograd, 400002, Russian FederationAnton A. Poddubsky
Peoples’ Friendship University of Russia
Email: poddubskiy-aa@rudn.ru
ORCID iD: 0000-0001-9796-2924
Candidate of Technical Sciences, Director, Agroengineering Department, Agrarian and Technological Institute
6 Miklukho-M aklaya st., Moscow, 117198, Russian FederationGeorgiy O. Chamurliev
Peoples’ Friendship University of Russia
Email: chamurliev-go@rudn.ru
ORCID iD: 0000-0002-6410-8438
Candidate of Agricultural Sciences, associate Professor, Agroengineering Department, Agrarian and Technological Institute
6 Miklukho-Maklaya st., Moscow, 117198, Russian FederationKsenia B. Shumakova
Russian State Agrarian University - Moscow Timiryazev Agricultural Academy
Email: kshumakova@rgau-msha.ru
ORCID iD: 0000-0003-3002-5420
Candidate of Agricultural Sciences, associate Professor, Department of Agricultural Land Reclamation, Forestry and Land Management
49 Timiryazevskaya st., Moscow, 127434, Russian FederationRoman V. Zbukarev
Russian Research Institute of Irrigated Agriculture
Email: zbukarevr@mail.ru
ORCID iD: 0000-0002-9237-547X
Laboratory researcher
9, Timiryazev st., Volgograd, 400002, Russian FederationReferences
- Nath AJ, Lal R. Effects of Tillage Practices and Land Use Management on Soil Aggregates and Soil Organic Carbon in the North Appalachian Region, USA. Pedosphere. 2017;27(1):172-176. doi: 10.1016/S1002-0160(17)60301-1
- Kuznetsov PI, Novikov AE. Effect of soil conditioners on water permeability and water-holding capacity of light chestnut soils. Russian Agricultural Sciences. 2010;36(4):279-281. doi: 10.3103/S1068367410040154
- Blanco-Canqui H, Wienhold BJ, Jin VL, Schmer MR, Kibet LC. Long-term tillage impact on soil hydraulic properties. Soil & Tillage Research. 2017;170:38-42. doi: 10.1016/j.still.2017.03.001
- Al-Kaisi MM, Douelle A, Kwaw-Mensah D. Soil microaggregate and macroaggregate decay over time and soil carbon change as influenced by different tillage systems. Journal of Soil and Water conservation. 2014;69(6):574-580. doi: https://doi.org/10.2489/jswc.69.6.574
- Pareja-Sanchez E, Plaza-Bonilla D, Ramos MC, Lampurlanes J, Alvaro-Fuentes J, Cantero-Martinez C. Long-term no-till as a means to maintain soil surface structure in an agroecosystem transformed into irrigation. Soil & Tillage Research. 2017;174:221-230. doi: 10.1016/j.still.2017.07.012
- Kuznetsov PI, Novikov AE. Hydraulic properties dynamic of light-chestnut soil under drip irrigation. Melioration and Water Management. 2009;(2):37-39. (In Russ.).
- Kuznetsov PI, Novikov AE. Energy and resource conservation in the grain corn cultivation on irrigated lands. Russian Agricultural Sciences. 2013;39(5-6):474-478. doi: 10.3103/S1068367413060128
- Volk LBD, Cogo NP. Water erosion at three moments in the corn crop, affected by soil tillage and crop sowing methods. Revista Brasileira de Ciencia do Solo. 2014;38(2):565-574. doi: 10.1590/S0100-06832014000200021
- Borodychev VV, Shevchenko VA, Novikov AE, Lamskova MI, Filimonov MI. Modeling and energy assessment of traction-exploitation indicators of serial chisel implement and plows. Plodorodie. 2017;(6):31-33. (In Russ.).
- Kisic I, Bogunovic I, Birkas M, Jurisic A, Spalevic V. The role of tillage and crops on a soil loss of an arable Stagnic Luvisol. Archives of Agronomy and Soil Science. 2017;63(3):403-413. doi: 10.1080/03650340.2016.1213815
- Das A, Lyngdoh D, Ghosh PK, Lal R, Layek J, Idapuganti RG. Tillage and cropping sequence effect on physico-chemical and biological properties of soil in Eastern Himalayas, India. Soil & Tillage Research. 2018;180:182-193. doi: 10.1016/j.still.2018.03.005
- Ovchinnikov AS, Mezhevova AS, Fomin SD, Pleskachev YN, Borisenko IB, Zvolinsky VP, et al. Energy and agrotechnical indicators in the testing of machine-tractor units with subsoiler. ARPN Journal of Engineering and Applied Sciences. 2017;12(24):7150-7160.
- Pyndak VI, Novikov AE. Energy Efficiency of mechanisms and instruments for deep cultivation of soil. Journal of Machinery Manufacture and Reliability. 2014;43(6):555-559. doi: 10.3103/S1052618814050148
- Bogunovic I., Pereira P, Kisic I, Sajko K, Sraka M. Tillage management impacts on soil compaction, erosion and crop yield in Stagnosols (Croatia). Catena. 2018;160:376-384. doi: 10.1016/j.catena.2017.10.009
- Li Z, Yang X, Cui S, Yang Q, Yang X, Li J, Shen Y. Developing sustainable cropping systems by integrating crop rotation with conservation tillage practices on the Loess Plateau, a long-term imperative. Field Crops Research. 2018;222:164-179. doi: 10.1016/j.fcr.2018.03.027
- Li N, Zhou C, Sun X, Jing J, Tian X, Wang L. Effect of ridge tillage and mulching on water availability, grain yield, and water use efficiency in rain-fed winter wheat under different rainfall and nitrogen conditions. Soil & Tillage Research. 2018;179:86-95. doi: 10.1016/j.still.2018.01.003
- Girardello VC, Amado TJC, Santi AL, Cherubin MR, Kunz J, Teixeira TDG. Soil penetration resistance, efficiency of mechanical chisel plowing and soybean grain yield in a clayey Oxisoil under long-term no-till. Revista Brasileira de Ciencia do Solo. 2014;38(4):1234-1244. doi: 10.1590/S0100-06832014000400020
- Fernandez FG, Sorensen BA, Villamil MB. A comparison of soil properties after five years of no-till and strip-till. Agronomy Journal. 2015;107(4):1339-1346. doi: 10.2134/agronj14.0549
- Lozano LA, Soracco CG, Villarreal R, Ressia JM, Sarli GO, Filgueira RR. Soil physical quality and soybean yield as affected by chiseling and subsoiling of a no-till soil. Revista Brasileira de Ciencia do Solo. 2016;40: e0150160. doi: 10.1590/18069657rbcs20150160
- Daigh AL, Dick WA, Helmers MJ, Lal R, Lauer JG, Nafziger E, Pederson CH, Strock J, Villamil M, Mukherjee A, Cruseet R. Yields and yield stability of no-till and chisel-plow fields in the Midwestern US Corn Belt. Field Crops Research. 2018;218:243-253. doi: 10.1016/j.fcr.2017.04.002
- Borodychev VV, Dubenok NN, Novikov AE, Konovalova GV. Agrotechnics of corn for grain on irrigated lands of the Lower Volga region. Plodorodie. 2016;(1):35-37. (In Russ.).
- Dubenok NN, Borodychev VV, Novikov AE, Konovalova GV. Yield capacity of corn for grain at the irrigated light-chestnut soils. Scientific life. 2016;(7):16-27. (In Russ.).
- Isayenko VA, Gorbunov MY. Water physical properties of the soil and their change at various technologies of processing of the soil in the crop rotation. Bulletin of the Kurgan State Agricultural Academy. 2012;(4):16-19. (In Russ.).
- Gaevaya EA. Influence of different soil cultivation on its physical properties. Scientific Journal of KubSAU. 2008;(39):154-162. (In Russ.).
- Al-Kaisi MM, Archontoulis SV, Kwaw-Mensah D, Miguez F. Tillage and crop rotation effects on corn agronomic response and economic return at seven Iowa locations. Agronomy Journal. 2015;107(4):1411-1424. doi: 10.2134/agronj14.0470
- Kuznetsov PI, Novikov AE, Melnikov AG. Innovative technologies of maize growing at irrigated lands. Zemledelie. 2011;(2):13-14. (In Russ.).
- Pyndak VI, Novikov AE. Improvement of corn cultivation technology in irrigation conditions. Agro XXI. 2009; (7-9):50-51. (In Russ.).
Supplementary files











