Assessment of stability and plasticity of hulless spring oat varieties by yield and 1000 seed weight in the Northern Russia
- Authors: Zobnina I.V.1, Korelina V.A.1, Batakova O.B.1
-
Affiliations:
- N. Laverov Federal Center for Integrated Arctic Research of the Ural Branch of the Russian Academy of Sciences
- Issue: Vol 19, No 1 (2024): Factors of sustainable animal productivity: from genomics to therapy
- Pages: 76-89
- Section: Genetics and plant breeding
- URL: https://agrojournal.rudn.ru/agronomy/article/view/19992
- DOI: https://doi.org/10.22363/2312-797X-2024-19-1-76-89
- EDN: https://elibrary.ru/AUYJJZ
- ID: 19992
Cite item
Full Text
Abstract
Spring oats in extreme conditions of the Russian North is one of the main annual fodder crops. Therefore, assessment of the source material for adaptability and stability is the basis for creation of new competitive varieties. The purpose of the research was to identify the most plastic varieties of hulless spring oat with the greatest stability in grain yield and 1000 seed weight in the conditions of the Northern region. The experiments were carried out in the southern zone of the Arkhangelsk region in 2020–2022. Seven hulless spring oat varieties developed by Nemchinovka Federal Research Center were studied in the experimental field. Nemchinovsky 61 variety was used as a standard. To evaluate samples by productivity and 1000 seed weight, the parameters of ecological plasticity and stability were calculated: yield in contrasting years (Y1 + Y2)/2; index of ecological plasticity (IEP); stress resistance (Y2 — Y1); linear regression coefficient (bi); coefficient of variation (V); stability index (L’); measure of stability (S2d); swing yield (d); indicator of variety stability level (IVSL). According to the data obtained, the varieties were evaluated, and appropriate conclusions were made about the plasticity and stability of hulless oats in terms of grain yield and 1000 seed weight. The average yield of hulless oat varieties over the research years was 2.20 t/ha, 1000 seed weight was 31.57 g. In favorable 2022, grain yield was the highest (3.45…3.90 t/ha), the index of environmental conditions was positive (Ij = 5.49), in unfavorable 2020–2021, grain yield was 1.18…2.11 t/ha and Ij was negative –2.13, –3.36. Regarding 1000 seed weight (31.8…35.0 g), the most favorable was 2020, the index of environmental conditions was positive (Ij = 1.95). In unfavorable 2021–2022, 1000 seed weight was 27.7…36.3 g and Ij was negative –1.71, –0.24. The following cultivars were pliable and stable in grain yield: 52h2467 (bi =1.04, IEP = 1.91, L’ = 116.99, IVSL = 14.644), H 2895 (L’ = 102.25, IVSL = 11.188), H 2979 (L’ = 103.12, IVSL = 12.044); and in 1000 seed weight: H 2895 (IVSL = 1524.711; IEP = 1.145; V = 1.051; (L’ = 139.999). The variety H 2895 combined high characteristics both in 1000 seed weight and in yield.
Full Text
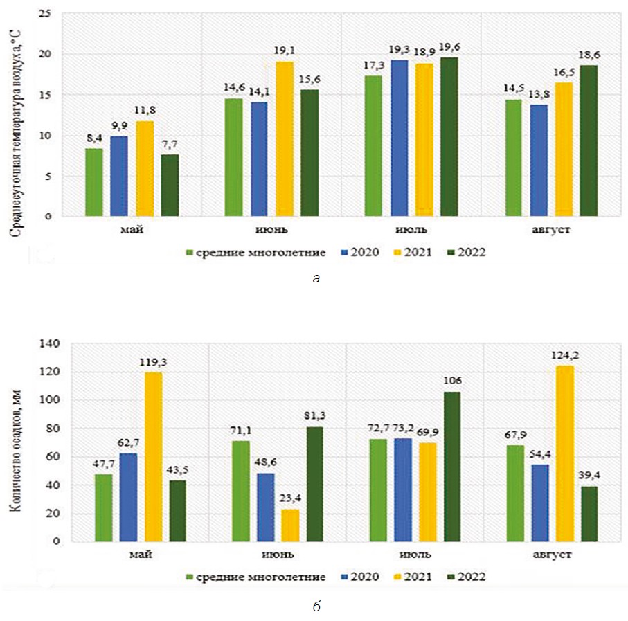
Weather conditions during research years: a — average daily air temperature, °C; б — precipitation, mm
Source: created by authors
Table 1. Yield and 1000 seed weight of hullless spring oat varieties
Variety | 1000 seed weight, g | Genetic flexibility (Y1+Y2)/2 | Yield, t/ha | Genetic flexibility (Y1+Y2)/2 | ||||||
2020 | 2020 | 2022 | Average | 2020 | 2021 | 2022 | Average | |||
Nemchinovsky 61 (standard) | 35.0 | 30.2 | 28.4 | 31.20 | 31.70 | 2.08 | 1.17 | 3.48 | 2.24 | 2.33 |
52h2467 | 32.2 | 28.2 | 28.5 | 29.63 | 30.20 | 2.11 | 1.47 | 3.90 | 2.49 | 2.69 |
Azil | 34.7 | 29.5 | 31.4 | 31.87 | 32.10 | 1.23 | 1.18 | 3.52 | 1.98 | 2.35 |
2h2348 | 33.2 | 27.7 | 30.6 | 30.50 | 30.45 | 1.28 | 1.18 | 3.74 | 2.07 | 2.46 |
N2895 | 35.6 | 36.3 | 36.2 | 36.03 | 35.95 | 1.58 | 1.50 | 3.46 | 2.18 | 2.48 |
N 2892 | 31.8 | 28.5 | 31.1 | 30.47 | 30.15 | 1.43 | 1.38 | 3.45 | 2.09 | 2.42 |
N 2979 | 32.1 | 28.6 | 33.1 | 31.27 | 30.85 | 1.78 | 1.45 | 3.75 | 2.33 | 2.60 |
Average | 33.5 | 29.85 | 31.33 | 31.71 | — | 1.64 | 1.33 | 3.61 | 1.88 | — |
Index of environmental conditions Ij | 1.95 | –1.71 | –0.24 | — | — | –2.13 | –3.36 | 5.49 | — | — |
Table 2. Plasticity of hullless oat varieties by yield
Variety | Stress tolerance (Ymin — Ymaх), % | Coefficient of variation V, % | Environmental Sustainability Index, % | Linear regression coefficient bi, % |
Nemchinovsky 61 (standard) | –2.31 | 44.59 | 1.82 | 5.38 |
52h2467 | –2.43 | 42.34 | 1.91 | 1.04 |
Azil | –2.34 | 56.91 | 1.52 | 1.11 |
2h2348 | –2.56 | 51.45 | 1.53 | 0.97 |
N 2895 | –1.96 | 42.35 | 1.71 | 0.92 |
N 2892 | –2.07 | 47.24 | 1.64 | 0.98 |
N 2979 | –2.30 | 44.82 | 1.80 | 1.03 |
Table 3. Stability of hullless spring oat varieties by yield
Variety | Stability index L′, % | Indicator of variety stability level (IVSL), % | Swing yield d, % | Stability measure S2d, % |
Nemchinovsky 61 (standard) | 100 | 100 | 66.283 | 5.580 |
52h2467 | 116.99 | 14.644 | 62.259 | 14.597 |
Azil | 69.01 | 6.848 | 66.572 | 17.336 |
2h2348 | 73.50 | 7.023 | 68.593 | 6.183 |
N 2895 | 102.25 | 11.188 | 56.585 | 5.304 |
N 2892 | 87.69 | 9.180 | 60.116 | 6.303 |
N 2979 | 103.12 | 12.044 | 61.282 | 7.253 |
Table 4. Plasticity of hullless oat varieties by 1000 seed weight
Variety | Stress tolerance (Ymin — Ymaх), % | Coefficient of variation V, % | Environmental Sustainability Index (ESI), % | Linear regression coefficient bi, % |
Nemchinovsky 61 (standard) | –4.80 | 10.935 | 0.987 | 5.557 |
52h2467 | –4.00 | 7.518 | 0.938 | 5.014 |
Azil | –5.20 | 8.257 | 1.001 | 5.530 |
2h2348 | –5.50 | 9.021 | 1.200 | 5.621 |
N 2895 | 0.70 | 1.051 | 1.145 | 2.626 |
N 2892 | –3.30 | 5.707 | 0.965 | 4.510 |
N 2979 | –3.50 | 7.557 | 0.991 | 4.494 |
Table 5. Stability of hulless spring oat varieties by 1000 seed weight
Variety | Stability index L′, % | Indicator of variety stability level (IVSL), % | Swing yield d, % | Stability measure S2d, % |
Nemchinovsky 61 (standard) | 100 | 100 | 18.857 | 39.244 |
52h2467 | 138.147 | 136.135 | 12.422 | 32.262 |
Azil | 135.264 | 139.439 | 14.986 | 35.978 |
2h2348 | 129.463 | 114.704 | 16.566 | 36.821 |
N 2895 | 139.999 | 1524.711 | 1.928 | 16.008 |
N 2892 | 187.100 | 186.336 | 10.377 | 17.402 |
N 2979 | 145.005 | 144.920 | 13.595 | 114.808 |
About the authors
Irina V. Zobnina
N. Laverov Federal Center for Integrated Arctic Research of the Ural Branch of the Russian Academy of Sciences
Email: 4856409@mail.ru
ORCID iD: 0000-0001-8585-0036
SPIN-code: 2731-8644
Researcher, Laboratory of Plant Breeding
20 Nikolsky ave., Arkhangelsk, 163032, Russian FederationValentina A. Korelina
N. Laverov Federal Center for Integrated Arctic Research of the Ural Branch of the Russian Academy of Sciences
Author for correspondence.
Email: 19651960@mail.ru
ORCID iD: 0000-0001-6052-7574
SPIN-code: 6921-4070
Candidate of Agricultural Sciences, Head of Laboratory of Plant Growing
20 Nikolsky ave., Arkhangelsk, 163032, Russian FederationOlga B. Batakova
N. Laverov Federal Center for Integrated Arctic Research of the Ural Branch of the Russian Academy of Sciences
Email: obb05@bk.ru
ORCID iD: 0000-0002-9883-6054
SPIN-code: 7608-3841
Candidate of Agricultural Sciences, Senior Researcher, Laboratory of Plant Growing
20 Nikolsky ave., Arkhangelsk, 163032, Russian FederationReferences
- Batalova GA, Loskutov IG, Shevchenko SN, Zhuikova OA, Krotova NV, Tulyakova MV. To question about breeding naked oat Virovets. Russian Agricultural Sciences. 2019;(4):8–11. (In Russ.). doi: 10.31857/S2500‑2627201948‑11
- Šubarić D, Babić J, Lalić A, Ačkar Đ, Kopjar M. Isolation and characterisation of starch from different barley and oat varieties. Czech Journal of Food Sciences. 2011;29(4):354–360. doi: 10.17221/297/2010‑CJFS
- Polonsky VI, Surin NA, Gerasimov SA, Lipshin AG, Sumina AV, Zute S. The study of oat varieties (Avena sativa L.) of various geographical origin for grain quality and productivity. Vavilov Journal of Genetics and Breeding. 2019;23(6):53–60. (In Russ.). doi: 10.18699/VJ19.541
- Batalova GA, Shevchenko SN, Tulyakova MV, Rusakova II, Zheleznikova VA, Lisitsyn EM. Selection of naked oats having high-quality grain. Russian Agricultural Sciences. 2016;(5):6–9. (In Russ.).
- Andreev NR, Batalova GA, Nosovskaya LP, Adikaeva LV, Goldstein VG, Shevchenko SN. Evaluation of technological properties of some varieties of naked oats as raw material for the manufacture of starch. Legumes and groat crops. 2016;(1):83–89. (In Russ.).
- Holland JB, Bjørnstad AB, Frey KJ, Gullord M, Wesenberg DM. Recurrent selection for broad adaptation affects stability of oat. Euphytica. 2002;126:265–274. doi: 10.1023/A:1016394208780
- Batalova GA. Oves v Volgo-Vyatskom regione [Oats in the Volga-Vyatka region]. Kirov: Orma publ.; 2013. (In Russ.).
- Sainakova AB, Litvinchuk OV. Assessment of ecological plasticity and stability of collection samples of oats by weight of 1000 grains. Bulletin of Kemerovo State University. 2015;(4–3):72–74. (In Russ.).
- Eberhart SA, Russell WA. Stability parameters for comparing varieties. Crop Science. 1966;6(1):36–40. doi: 10.2135/cropsci1966.0011183X000600010011x
- Rossielle AA, Hamblin J. Theoretical aspects of selection for yield in stress and non-stress environvents. Crop science. 1981;21(6):943–946. doi: 10.2135/cropsci1981.0011183X002100060033x
- Gryaznov AA. Barley breeding in Northern Kazakhstan. Selektsiya i semenovodstvo. 2000;(4):2–8. (In Russ.).
- Hangildin VV, Asfondiyarova RR. The manifestation of homeostasis in hybrids of seeded peas. Scientific Review. Biological Sciences. 1977;(1):116–121. (In Russ.).
- Nettevich ED, Morgunov AI, Maksimenko MI. Improving the efficiency of spring wheat selection for stability, yield and grain quality. Vestnik of the Russian agricultural science. 1985;(1):66–73. (In Russ.).
- Nikolaev PN, Aniskov NI, Yusova OA, Safonova IV. Adaptability of spring oat yield in the environments of the NEAR-IRTYSh area in Omsk province. Proceedings on applied botany, genetics and breeding. 2018;179(4):28–38. (In Russ.). doi: 10.30901/2227‑8834‑2019‑28‑38
Supplementary files











